商務部公告2025年第81號 公布對原產于美國、韓國和歐盟的進口三元乙丙橡膠所適用的反傾銷措施發起期終復審調查
【發布單位】貿易救濟局
【發布文號】商務部公告2025年第81號
【發文日期】2025年12月19日
2020年12月18日,商務部發布2020年第60號公告,決定自2020年12月20日起,對原產于美國、韓國和歐盟的進口三元乙丙橡膠征收反傾銷稅,稅率為美國公司214.9%—222.0%,韓國公司12.5%—24.5%,歐盟公司14.7%—31.7%,實施期限為5年。
根據商務部2021年第3號公告,2020年12月31日英國脫歐過渡期結束后,之前已對歐盟實施的貿易救濟措施繼續適用于歐盟和英國,實施期限不變;該日期后對歐盟新發起的貿易救濟調查及復審案件,不再將英國作為歐盟成員國處理。
2025年10月17日,商務部收到中國石油天然氣股份有限公司吉林石化分公司和上海中石化三井彈性體有限公司(以下稱申請人)代表國內三元乙丙橡膠產業提交的反傾銷措施期終復審申請書。申請人主張,如果終止反傾銷措施,原產于美國、韓國和歐盟的進口三元乙丙橡膠對中國的傾銷可能繼續或再度發生,對中國產業造成的損害可能繼續或再度發生,請求商務部對原產于美國、韓國和歐盟的進口三元乙丙橡膠所適用的反傾銷措施進行期終復審調查,并維持該反傾銷措施。申請人未對原產于英國的進口三元乙丙橡膠所適用的反傾銷措施提出期終復審申請。
根據《中華人民共和國反傾銷條例》有關規定,商務部對申請人資格、被調查產品和中國同類產品有關情況、反傾銷措施實施期間被調查產品進口情況、傾銷繼續或再度發生的可能性、損害繼續或再度發生的可能性及相關證據等進行了審查。現有證據表明,申請人符合《中華人民共和國反傾銷條例》第十一條、第十三條和第十七條關于產業及產業代表性的規定,有資格代表中國三元乙丙橡膠產業提出申請。調查機關認為,申請人的主張以及所提交的表面證據符合期終復審立案的要求。
根據《中華人民共和國反傾銷條例》第四十八條規定,商務部決定自2025年12月20日起,對原產于美國、韓國和歐盟的進口三元乙丙橡膠所適用的反傾銷措施進行期終復審調查。現將有關事項公告如下:
一、繼續實施反傾銷措施
根據商務部建議,國務院關稅稅則委員會決定,在反傾銷措施期終復審調查期間,對原產于美國、韓國和歐盟的進口三元乙丙橡膠繼續按照商務部2020年第60號公告公布的征稅產品范圍和稅率征收反傾銷稅。自2025年12月20日起,對原產于英國的進口三元乙丙橡膠所適用的反傾銷措施到期終止。
對各公司征收的反傾銷稅稅率如下:
美國公司
1.陶氏化學公司 222.0%
(The Dow Chemical Company)
2. 埃克森美孚公司 214.9%
(Exxon Mobil Corporation)
3. 阿朗新科美國有限公司 219.8%
(ARLANXEO USA LLC)
4. 美國獅子彈性體有限公司 219.8%
(Lion Copolymer Geismar,LLC)
5. 其他美國公司 222.0%
韓國公司
1.錦湖POLYCHEM株式會社 12.5%
(KUMHO POLYCHEM Co.,Ltd.)
2.樂天瑋薩黎司彈性體有限公司 21.1%
(Lotte Versalis Elastomers Co.,Ltd.)
3.其他韓國公司 24.5%
歐盟公司
1. 阿朗新科荷蘭有限公司 18.1%
(ARLANXEO Netherlands B.V.)
2. 埃克森美孚化工法國公司 14.7%
(ExxonMobil Chemical France (ExxonMobil Chemical France Société par Actions Simplifiée))
3. 意大利瑋薩黎司有限公司 16.5%
(Versalis S.p.A.)
4. 其他歐盟公司 31.7%
二、復審調查期
本次復審的傾銷調查期為2024年7月1日至2025年6月30日,產業損害調查期為2021年1月1日至2025年6月30日。
三、復審調查產品范圍
復審產品范圍是原反傾銷措施所適用的產品,與商務部2020年第60號公告公布的反傾銷措施所適用的產品范圍一致,具體如下:
被調查產品名稱:三元乙丙橡膠。
英文名稱:Ethylene-Propylene-non-conjugated Diene Rubber或Ethylene Propylene Diene Monomer(EPDM)
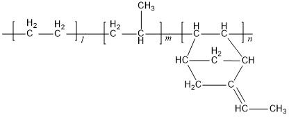
化學結構式:

物理化學特性:三元乙丙橡膠是乙烯、丙烯以及非共軛二烯烴的三元共聚物,常溫下外觀為白色或者微黃色固體,易于混合。三元乙丙橡膠的物理性能、化學特征和加工性能主要因聚合體的分子結構不同而異,而與分子結構相關的因素有第三單體種類、門尼粘度和充油含量等各種要素。三元乙丙橡膠具有較好的耐老化性、耐化學品性、耐低溫性及介電性能。
主要用途:三元乙丙橡膠用途比較廣泛,可用于建筑、電線電纜、汽車工業、交通等領域。建筑方面,主要用于屋頂單層防水卷材等;電線電纜方面,主要用于民用和商用建筑的電力輸入線、建筑機械用電纜、礦用電纜、核電站用電纜、汽車點火線、控制及信號電纜等;汽車工業方面,主要用于汽車、卡車和公共汽車非輪胎部件,包括汽車的水箱及耐熱膠管、密封條、橡膠帶、車身及底盤的部件、擋雨條、底板和環管等;交通方面主要應用于車輛車門窗密封條、減震、止水帶等。
該產品歸在《中華人民共和國進出口稅則》:40027010和40027090。
四、復審內容
本次復審調查的內容為:如果終止對原產于美國、韓國和歐盟的進口三元乙丙橡膠實施的反傾銷措施,是否可能導致傾銷和損害繼續或再度發生。
五、登記參加調查
利害關系方可于本公告發布之日起20日內,向商務部貿易救濟調查局登記參加本次反傾銷期終復審調查。參加調查的利害關系方應根據《登記參加調查的參考格式》提供基本身份信息、向中國出口或進口本案被調查產品的數量及金額、生產和銷售同類產品的數量及金額以及關聯情況等說明材料。《登記參加調查的參考格式》可在商務部網站貿易救濟調查局子網站下載。
利害關系方登記參加本次反傾銷調查,應通過“貿易救濟調查信息化平臺”(http://etrb.mofcom.gov.cn)提交電子版本,并根據商務部的要求,同時提交書面版本。電子版本和書面版本內容應相同,格式應保持一致。
本公告所稱的利害關系方是指《中華人民共和國反傾銷條例》第十九條規定的個人和組織。
六、查閱公開信息
利害關系方可在商務部網站貿易救濟調查局子網站下載或到商務部貿易救濟公開信息查閱室(電話:0086-10-65197878)查找、閱覽、抄錄并復印本案申請人提交的申請書的非保密文本。調查過程中,利害關系方可通過相關網站查詢案件公開信息,或到商務部貿易救濟公開信息查閱室查找、閱覽、抄錄并復印案件公開信息。
七、對立案的評論
利害關系方對本次調查的產品范圍及申請人資格、被調查國家(地區)及其他相關問題如需發表評論,可于本公告發布之日起20天內將書面意見提交至商務部貿易救濟調查局。
八、調查方式
根據《中華人民共和國反傾銷條例》第二十條規定,商務部可以采用問卷、抽樣、聽證會、現場核查等方式向有關利害關系方了解情況,進行調查。
為獲得本案調查所需要的信息,商務部通常在本公告規定的登記參加調查截止之日起10個工作日內向利害關系方發放調查問卷。利害關系方可以從商務部網站貿易救濟調查局子網站下載調查問卷。
利害關系方應在規定時間內提交完整、準確的答卷。答卷應當包括調查問卷所要求的全部信息。
九、信息的提交和處理
利害關系方在調查過程中提交評論意見、答卷等,應通過“貿易救濟調查信息化平臺”(http://etrb.mofcom.gov.cn)提交電子版本,并根據商務部的要求,同時提交書面版本。電子版本和書面版本內容應相同,格式應保持一致。
利害關系方向商務部提交的信息如需保密的,可向商務部提出對相關信息進行保密處理的請求并說明理由。如商務部同意其請求,申請保密的利害關系方應同時提供該保密信息的非保密概要。非保密概要應當包含充分的有意義的信息,以使其他利害關系方對保密信息能有合理理解。如不能提供非保密概要,應說明理由。如利害關系方提交的信息未說明需要保密的,商務部將視該信息為公開信息。
十、不合作的后果
根據《中華人民共和國反傾銷條例》第二十一條規定,商務部進行調查時,利害關系方應當如實反映情況,提供有關資料。利害關系方不如實反映情況、提供有關資料的,或者沒有在合理時間內提供必要信息的,或者以其他方式嚴重妨礙調查的,商務部可以根據已經獲得的事實和可獲得的最佳信息作出裁定。
十一、調查期限
本次調查自2025年12月20日開始,應于2026年12月20日前(不含本日)結束。
十二、商務部聯系方式
地址:中國北京市東長安街2號
郵編:100731
商務部貿易救濟調查局 進口調查四處
電話:0086-10-65198474、65198194
傳真:0086-10-65198172
網站:商務部網站貿易救濟局子網站(http://trb.mofcom.gov.cn)
中華人民共和國商務部
2025年12月19日

網站截圖



